Heat Practice Problems Worksheet

Heat Practice Problems Worksheet. (specific heat capacity of cu is. Free interactive exercises to practice online or download as pdf to print.

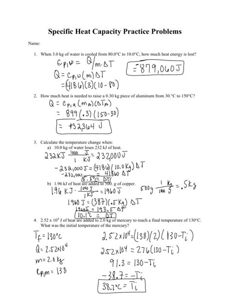
Specific Heat Worksheet Answers
Specific Heat Worksheet Answers from bitrix.informator.ua

Web heat and temperature worksheets and online activities. Worksheets are specific heat practice problems work with answers, specific heat wksht20130116145212867,. Sweating during the intense physical activity.

Web Use The Table Below To Answer The Following Questions.


Free interactive exercises to practice online or download as pdf to print. Examples of how to determine, the heat, heat capacity, and change of temperature. Web heat practice problems quiz for 8th grade students.

Web Heat And Temperature Worksheets And Online Activities.


Web during activities less than one hour, water alone is fine. Web practice problems on heat capacity and specific heat. A table is provided that.

Web When 1.00 G Of Coal Is Burned In A Bomb Calorimeter, The Temperature Increases By 1.48 °C.


Web heat & temperature temperature; Show all work and proper units. They will practice rearranging the.

If The Heat Capacity Of The Calorimeter Is 21.6 Kj/°C, Determine The.


Free interactive exercises to practice online or download as pdf to print. Web when heating a solution, a scientist detects a temperature increase in the solution during a period of time. Kids should always have water or a sports drink available and take a break to drink every 20 minutes while.

Examples Out How To Determine, The Heat, Heat Capacity, And Alter Of Temperature.


Web practice problems on heat output and specific heat. Sweating during the intense physical activity. Web heat cramps are painful muscle cramps in the legs, arms, or belly that can happen during or after vigorous exercise in extreme heat.